인하대역 푸르지오 에듀포레 인천 학익동 재개발 아파트
수도권 청약 시장에서 재건축 및 재개발 아파트는 높은 경쟁률을 기록하며 주목받고 있습니다. 특히 기반 시설이 갖춰진 지역에서 주거 환경 개선이 기대되는 단지들이 큰 인기를 끌고 있는데요. 이번에 소개할 인하대역 푸르지오 에듀포레 역시 학익 3 구역 주택 재개발 정비사업으로 주목받는 단지 중 하나입니다. 본 단지는 입지적 장점과 함께 미래 가치를 기대할 수 있는 요소를 다수 보유하고 있습니다. 최근 인천 부동산 시장은 금융 규제와 매수심리 악화로 인해 아파트값이 하락세로 전환되었습니다. 특히 중구, 연수구, 서구를 중심으로 매물 증가세가 두드러졌으며, 역세권과 학세권 이외 지역에서는 매물 증가와 가격 하락이 동시에 나타났습니다. 이와 달리, 인하대역 푸르지오 에듀포레는 지하철역과 인접하고, 학교와 가까운 입지적 장점으로 인해 높은 주목을 받고 있습니다. 이러한 입지 조건은 장기적으로도 가치 상승을 기대하게 합니다.


단지 개요와 세대 구성
인하대역 푸르지오 에듀포레는 인천광역시 미추홀구 학익동 321번지 일원에 위치하며, 지하 2층에서 지상 39층 높이의 13개 동으로 구성된 총 1,500세대의 대단지입니다.
건폐율: 15.76%로 낮아 동 간 거리가 넓고 프라이버시를 확보할 수 있습니다.
시공사: 대우건설
입주 예정일: 2028년 3월

단지는 남향 위주의 배치로 채광과 통풍을 극대화했으며, 주민 운동시설, 놀이터, 조경 시설 등을 고루 갖추어 쾌적한 생활 환경을 제공합니다. 고급 조경과 프라이버시를 고려한 설계 단지 내 조경은 입주민의 힐링과 자연 친화적인 삶을 강조합니다.
- 그린필드: 잔디밭에서 다양한 활동을 즐길 수 있는 다목적 오픈 스페이스
- 아쿠아 필드: 초화류와 나무가 어우러진 물빛 풍경
- 완충 녹지: 단지를 둘러싼 자연과의 조화로 아늑함 제공
또한, 주 출입구가 큰 도로와 직접 맞닿지 않아 차량 소음과 먼지로부터 보호받을 수 있습니다.




풍성한 커뮤니티 시설
인하대역 푸르지오 에듀포레는 입주민의 다양한 요구를 충족할 수 있는 부대 및 커뮤니티 시설을 제공합니다.
- 스포츠 존
- 피트니스 센터
- 골프 연습장
- GX룸
- 사우나
- 교육 문화 존
- 작은 도서관 및 독서실
- 오픈 독서실
- 멀티룸
기타 시설
- 주민 회의실
- 공유 오피스
- 파티룸 및 게스트 하우스


단위 세대와 효율적인 설계
본 단지는 27㎡ 소형부터 120㎡ 대형까지 다양한 평형대로 구성되어 있습니다. 일반 분양 물량은 37111㎡의 13개 타입으로 이루어졌으며, 소형 평형은 12인 가구를, 중대형 평형은 가족 단위를 타겟으로 설계되었습니다.


소형 평형: 37㎡ 타입은 1~2인 가구를 위한 트렌디한 구조
중형 평형: 49㎡과 52㎡ 타입은 방 2개와 욕실 2개를 배치해 효율적인 공간 활용
대형 평형: 74A 타입은 4베이 판상형 맞통풍 구조와 넉넉한 수납공간 제공
특히, 59㎡ 이하 평형은 침실 면적 확보에 주력했고, 74㎡ 이상 평형은 주부 동선을 고려한 설계로 넓은 공간감을 강조했습니다.
조감도

단지배치도 / 동호수 배치도




뛰어난 교육 환경
인하대역 푸르지오 에듀포레는 명문 학군이 밀집한 지역에 위치해 있습니다.
- 인접 학교: 초등학교, 인하사대 부속 중·고등학교 주변
- 학군: 인주 중학교, 인하대학교
아이 키우기 좋은 환경으로 학세권의 장점을 극대화했으며, 영구적인 학군 메리트를 제공합니다.


편리한 교통 환경
- 도보권: 수인분당선 인하대역
- 고속도로: 학익 JC와 연결된 제2경인고속도로로 서울 및 수도권 접근 용이
- 교통 호재: 2026년 학익역 개통 예정, 송도역 KTX 복합환승센터 건립 계획
특히, 월곶-판교선 연장이 계획되어 있어 교통 편의성이 더욱 향상될 전망입니다.

생활 인프라와 자연 환경
재개발 정비사업의 장점으로 기존 인프라를 그대로 이용할 수 있다는 점이 돋보입니다.
- 상업 시설: 홈플러스, CGV, 전통시장
- 법조타운 및 상권: 인하대 상권
또한, 단지 주변에 꿈나래 어린이공원, 봄빛 소공원 등 자연을 가까이에서 느낄 수 있는 공간이 다수 조성될 예정입니다. 문학산, 청량산 등 자연환경도 가까워 쾌적한 생활을 누릴 수 있습니다.
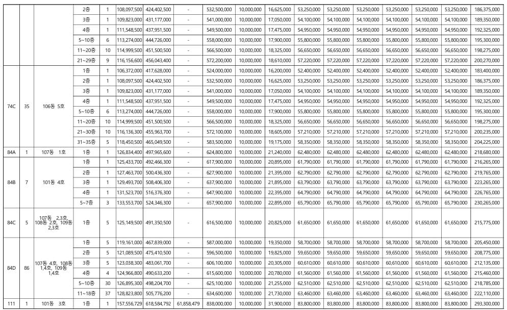
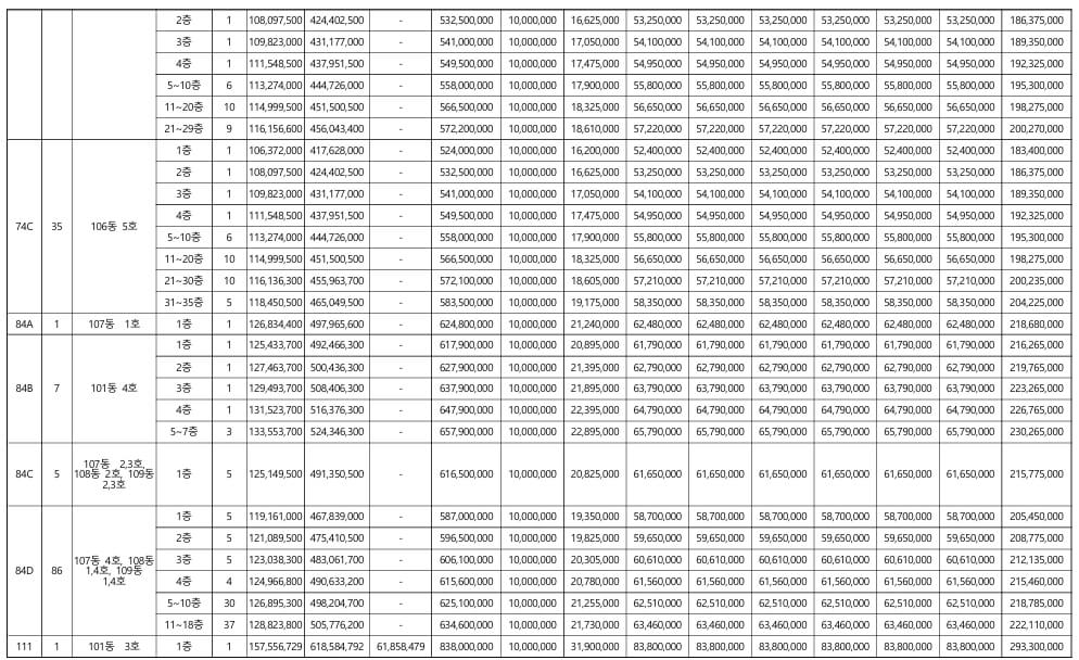
분양가


마무리
밝은 미래 가치를 가진 단지 인하대역 푸르지오 에듀포레는 학익 3 구역을 포함한 인천의 재개발 사업 중심지로 자리 잡고 있습니다. 잘 갖춰진 생활 인프라와 대규모 교통 호재, 교육 환경까지 두루 갖춘 이 단지는 장기적인 투자 가치와 실거주 만족도를 모두 충족할 수 있는 선택지입니다.
'부동산 정보' 카테고리의 다른 글
| 의정부 임대아파트 GTX 의정부역 호반써밋 민간임대 모델하우스 (0) | 2025.01.19 |
|---|---|
| 영어교육도시 타운하우스 아일랜드 힐 4차 갤러리 321 단독주택 분양 (0) | 2025.01.14 |
| 제주도 타운하우스 더트라움11 단독주택 잔여세대 선착순 특별 분양 즉시입주가능 (0) | 2024.12.22 |
| 운서역 초역세권 인천 운서SK뷰 오피스텔 잔여세대 분양 <주택수 미포함> (0) | 2024.12.18 |
| 대구 파동 KCC 스위첸 수성구 포레스트 스위첸 아파트 특별 분양 (0) | 2024.12.02 |